Torna indietro   BaroneRosso.it - Forum Modellismo > Categoria Aeromodellismo > Aeromodellismo Volo Elettrico


Rispondi
 
Strumenti discussione Visualizzazione
Vecchio 29 aprile 14, 11:42   #1 (permalink)  Top
User
 
L'avatar di Giulianoo
 
Data registr.: 19-04-2010
Residenza: Roma
Messaggi: 2.375
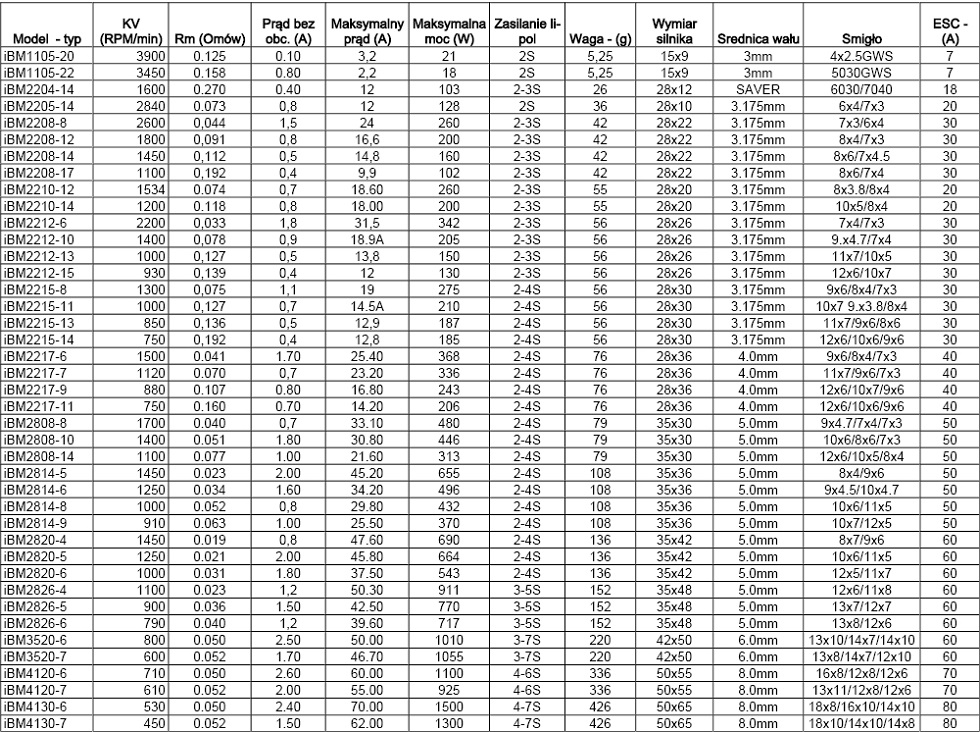
è arrivato il motore n questione e leggendo il codice sulla cassa ho trovato le specifiche.

il modello è ibm2826-4. sulla tabella allegata, secondo una mia logica, vengono riportati valori massimi di wattaggio, Amp ed eliche.

Quindi avrei con 5s una potenza massima di 911 W a 50,3 A con elica 11x8 (o 12x6).

E' verosimile fare un calcolo grossolano per proporzione, a parità di elica, considerando gli ampere assorbiti a 5s, per calcolare gli ampere (e quindi anche i watt) a 3s ??

se faccio il calcolo mi escono circa 30 Ampere, il che vorrebbe dire che potrebbe andare bene l'esc che attualmente è montato sul modello (30A), magari limitando leggermente la corsa del gas (montando l'elica originale 10.5x9).

che ne dite?
Icone allegate
motori ipower-ipower_silniki1.jpg  
Giulianoo non è collegato   Rispondi citando
Rispondi

Bookmarks




Regole di scrittura
Non puoi creare nuove discussioni
Non puoi rispondere alle discussioni
Non puoi inserire allegati
Non puoi modificare i tuoi messaggi

BB code è Attivato
Le faccine sono Attivato
Il codice [IMG] è Attivato
Il codice HTML è Disattivato
Trackbacks è Disattivato
Pingbacks è Disattivato
Refbacks è Disattivato


Discussioni simili
Discussione Autore discussione Forum Commenti Ultimo Commento
Motori cardanici e motori G, primi anni 80, E 626 Roco, la rivoluzione! Doctortreno Ferromodellismo 19 28 aprile 09 01:25



Tutti gli orari sono GMT +2. Adesso sono le 03:38.


Basato su: vBulletin versione 3.8.11
Copyright ©2000 - 2025, Jelsoft Enterprises Ltd.
E' vietata la riproduzione, anche solo in parte, di contenuti e grafica. Copyright 1998/2019 - K-Bits P.I. 09395831002